مجله جم ترونیک
فرمول سلف چیست؟
سلف یا القاگر یکی از پرکاربردترین عناصر پسیو در مدارهای الکترونیکی و مخابراتی است که با ذخیره انرژی در میدان مغناطیسی خود، نقش مهمی در فیلتر کردن، تنظیم فرکانس و ایجاد تأخیر دارد. آشنایی با فرمول سلف به مهندسان و تکنسینهای برق و الکترونیک این امکان را میدهد تا بتوانند ظرفیت القایی مورد نظر را در طراحیهای خود محاسبه کنند.
سلفها با عبور جریان الکتریکی، میدان مغناطیسی تولید میکنند که هنگام قطع جریان، این انرژی ذخیرهشده به مدار باز میگردد. مقدار این انرژی و نحوه ذخیره آن بستگی به ظرفیت القایی سلف دارد. در این مطلب بهصورت دقیق به بررسی قطعه سلف، واحدهای اندازهگیری آن و درنهایت معرفی فرمول سلف میپردازیم تا دیدی جامع نسبت به عملکرد این قطعه پرکاربرد داشته باشیم.
آشنایی با سلف یا القاگر
سلف یا القاگر (Inductor) یک قطعه الکترونیکی است که معمولاً از یک سیمپیچ تشکیل شده و توانایی ذخیره انرژی در قالب میدان مغناطیسی را دارد. زمانی که جریان الکتریکی از یک سلف عبور میکند، میدان مغناطیسی در اطراف آن ایجاد میشود. در صورت تغییر ناگهانی جریان، این میدان فرو میریزد و ولتاژی معکوس تولید میشود که میتواند جریان را برای مدت کوتاهی حفظ کند.
سلفها در فیلترها، منابع تغذیه، مدارات رزونانس و حتی در مدارهای RF کاربرد فراوان دارند. عملکرد آنها تا حد زیادی وابسته به ویژگیهای فیزیکی مانند تعداد دور سیم، جنس هسته و ساختار فیزیکی است. اگرچه ظاهر سادهای دارند، اما رفتار آنها در مدارهای پیچیده تأثیر زیادی بر روی عملکرد کلی دارد.
درک اولیه از نحوه عملکرد این قطعه، پیشنیاز مناسبی برای ورود به بحث فرمول محاسبه سلف و شناخت عوامل مؤثر در تعیین ظرفیت آن است.

واحد اندازهگیری ظرفیت سلف
ظرفیت سلف یا اندوکتانس (Inductance) با واحد “هانری (Henry)” اندازهگیری شده و با نماد H نمایش داده میشود. این واحد درواقع نشان میدهد که اگر در یک سلف، نرخ تغییر جریان به مقدار یک آمپر در ثانیه برسد و در نتیجه یک ولت ولتاژ القا شود، ظرفیت آن یک هانری خواهد بود.
در کاربردهای عملی، معمولاً از زیرواحدهایی چون میلیهانری (mH)، میکروهانری (µH) و نانوهانری (nH) استفاده میشود. برای مثال، سلفهایی که در مدارات RF به کار میروند معمولاً در بازه نانوهانری تا میکروهانری قرار داشته و سلفهای قدرت، ظرفیتهایی در حد میلیهانری یا حتی بیشتر دارند.
آشنایی با این واحدها برای استفاده درست در محاسبه ظرفیت سلف ضروری است، زیرا در هنگام طراحی مدار یا انتخاب سلف مناسب، باید این مقادیر را بهدرستی تشخیص داد.
همچنین جهت خرید و دیدن قیمت سلف بشکه ای کلیک کنید.

فرمول ظرفیت سلف
فرمول ظرفیت سلف به پارامترهای متعددی بستگی دارد که به ساختار فیزیکی آن مربوط میشود. یکی از متداولترین فرمولها برای محاسبه ظرفیت سلف به شکل زیر است:

که در آن:
- L: ظرفیت سلف بر حسب هانری
- N: تعداد دور سیمپیچ
- Μ: تراوایی مغناطیسی هسته (μ = μ₀ * μᵣ)
- A: سطح مقطع هسته بر حسب متر مربع
- l: طول مسیر میدان مغناطیسی در هسته
این فرمول سلف به ما کمک میکند که با داشتن اطلاعات فیزیکی از هسته و سیمپیچ، مقدار اندوکتانس را محاسبه کنیم. استفاده از مواد با μᵣ بالا مثل فریتها باعث افزایش مقدار L میشود. در نتیجه، اگر نیاز به اندوکتانس بیشتر با فضای فیزیکی کمتر دارید، استفاده از هسته مناسب ضروری است.
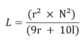
در مدارهای خاص، ممکن است از فرمولهای سادهتری استفاده شود. مثلاً برای سلفهای هواپیچ:

در این فرمول، r شعاع سیمپیچ و l طول آن است. این نسخه از فرمول محاسبه سلف بیشتر در طراحیهای DIY یا رادیویی کاربرد دارد. انتخاب فرمول مناسب بسته به شرایط و نوع سلف بسیار حائز اهمیت است.

عوامل تأثیرگذار در مقدار ظرفیت سلف
مقدار ظرفیت سلف به عوامل متعددی وابسته است:
- تعداد دور سیمپیچ: مهمترین عامل، تعداد دور سیمپیچ است؛ هرچه تعداد دور بیشتر باشد، میدان مغناطیسی قویتری ایجاد میشود.
- جنس هسته: استفاده از هستههای با تراوایی بالا مانند فریت یا آهن نرم باعث افزایش اندوکتانس میشود.
- سطح مقطع هسته: هرچه سطح مقطع بزرگتر باشد، میدان مغناطیسی گستردهتری ایجاد شده و اندوکتانس افزایش مییابد.
- طول سیمپیچ: عامل بعدی، طول سیمپیچ یا مسیر میدان مغناطیسی است؛ مسیر کوتاهتر باعث متمرکزتر شدن میدان و افزایش ظرفیت خواهد شد.
همچنین، دمای محیط و فرکانس عملکرد نیز بر رفتار سلف در مدار تأثیرگذارند. این عوامل باید در کنار فرمول سلف در نظر گرفته شوند تا محاسبه دقیقتری از عملکرد سلف در شرایط واقعی ارائه شود.
جهت خرید سلف مقاومتی با قیمت مناسب کلیک کنید.
سخن پایانی
در این مطلب با مفهوم سلف یا القاگر و نقش آن در ذخیره انرژی مغناطیسی آشنا شدیم. سپس به بررسی واحد ظرفیت سلف و کاربرد هانری و زیرواحدهای آن پرداختیم. در ادامه، انواع فرمول ظرفیت سلف را بررسی کردیم که با توجه به شرایط ساخت و نوع هسته قابل استفاده هستند. همچنین، عوامل کلیدی مانند تعداد دور، جنس هسته، طول و سطح مقطع در تعیین مقدار اندوکتانس معرفی شدند.
آشنایی با فرمول سلف به مهندسان و طراحان الکترونیک کمک میکند تا بهدرستی سلف مورد نیاز خود را انتخاب یا طراحی کنند. استفاده دقیق از فرمولها در کنار درک تأثیرات محیطی و فیزیکی، باعث بهبود عملکرد مدارهای الکترونیکی خواهد شد.
جهت اطلاع از قیمت و خرید سلف با بهترین کیفیت، روی آن کلیک کنید.
سوالات متداول
- فرمول سلف چیست و چه مفهومی دارد؟
فرمول سلف بیانگر رابطه بین پارامترهای فیزیکی سیمپیچ و هسته (تعداد دور، تراوایی، سطح مقطع و طول مسیر) با ظرفیت القایی سلف است که با نماد L و واحد هانری نمایش داده میشود.
- تفاوت بین سلفهای مختلف در چیست آیا ظرفیت های آنها متفاوت است؟
تفاوت سلفها در ظرفیت القایی، نوع هسته، تعداد دور و کاربرد آنهاست؛ هر سلف با توجه به این ویژگیها ظرفیت متفاوتی دارد.
- آیا میتوان ظرفیت سلف را با تغییر ابعاد سیم پیچ تغییر داد؟
بله، با تغییر تعداد دور، شعاع، طول سیمپیچ یا استفاده از هسته با تراوایی متفاوت، میتوان ظرفیت سلف را افزایش یا کاهش داد.








